Menü ausblenden
Menü ausblenden   Internetchemie   |     About   |   Kontakt   |   Impressum   |   Datenschutz   |   Sitemap
Menü ausblenden   Chemie Index   |   Chemie-Lexikon   |   Chemikalien   |   Elemente
Menü ausblenden   Geräte + Instrumente   |  
Menü ausblenden   Jobbörse, Stellenangebote   |  
Menü ausblenden   Crowdfunding Chemie   |     Text veröffentlichen
Home und Neuigkeiten
Chemie A - Z
Produkte, Geräte für Labor und Industrie
Chemikalien und chemische Verbindungen
Stellenbörse für Chemie-Jobs
Impressum, Kontakt
Crowdfunding Chemie

 

2-Hydroxyölsäure

Eigenschaften, Daten und Datenquellen.



Die 2-Hydroxyölsäure ist eine organisch-chemische Verbindung, die sich von der Ölsäure - einer natürlich vorkommenden, ungesättigten Fettsäure - durch eine zusätzlich Hydroxy-Gruppe an Position 2 unterscheidet. Es existieren auf Grund des Stereozentrums am C2 zwei Stereoisomere. Hier wird das Racemat behandelt. Die Salze und Ester der 2-OHOA werden als 2-Hydroxyoleate bezeichnet.

 

Bezeichnungen und Identifikatoren

Bezeichnung
2-Hydroxyölsäure
Formel
C18H34O3
Molekulargewicht, Molekülmasse
298,467 (g/mol)
CAS-Nummer
56472-29-8
EINECS EC-Nummer (EG-Nummer)
803-722-1
InChI Key
JBSOOFITVPOOSY-KTKRTIGZSA-N

Systematischer Name
(Z)-2-Hydroxyoctadec-9-ensäure

Weitere Bezeichnungen, Synonyme
Idroxiölsäure; NFX88; (9Z)-2-Hydroxyoctadec-9-ensäure

Abkürzung
2-OHOA

Englische Bezeichnung
2-Hydroxyoleic acid
Idroxioleic acid; (9Z)-2-Hydroxyoctadec-9-enoic acid
(Z)-2-Hydroxyoctadec-9-enoic Acid

Handelsnamen; Präparate
Minerval

 

Chemische Formeln

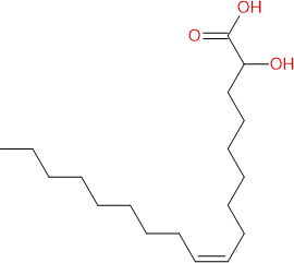
Brutto- bzw. Summenformel und Strukturformel der chemischen Verbindung 2-Hydroxyölsäure:

 

2-Hydroxyölsäure

 

C18H34O3

Mr = 298,467 g/mol

(Z)-2-Hydroxyoctadec-9-ensäure
SMILES: CCCCCCCC/C=CCCCCCCC(C(=O)O)O

 

Spektroskopische Daten:

Berechnetes NMR-Spektrum (Predict Spectra via NMRDB)
1H NMR Spektrum, 13C NMR Spektrum.

 

Prozentuale und isotopische Zusammensetzung:

Massenbezogene elementare Zusammensetzung und Isotopen-Anteile der Verbindung 2-Hydroxyölsäure - C18H34O3 - berechnet auf Grundlage der Molekülmasse.

.

Symbol
Element E
Anzahl x
der Atome Ex
Daten des Elements
und der Isotope *
Prozentanteile
der Isotope
Prozent-Anteil von
Ex an Formelmasse
C
Kohlenstoff
18 Ar = 12,011 u
ΣAr = 216,198 u
12C: 12 u [98,94 %]
13C: 13,00335 u [1,06 %]
14C: 14,00324 u [<< 1 %]
 
12C: 71,66833 %
13C: 0,76782 %
14C: Spuren
72,4361 %H
Wasserstoff
34 Ar = 1,008 u
ΣAr = 34,272 u
1H: 1,00783 u [99,99 %]
2H: 2,0141 u [0,01 %]
3H: 3,01605 u [<< 1 %]
 
1H: 11,48153 %
2H: 0,00115 %
3H: Spuren
11,4827 %O
Sauerstoff
3 Ar = 15,999 u
ΣAr = 47,997 u
16O: 15,99491 u [99,757 %]
17O: 16,99913 u [0,03835 %]
18O: 17,99916 u [0,205 %]
 
16O: 16,0421 %
17O: 0,00617 %
18O: 0,03297 %
16,0812 %

*) Die dritte Spalte führt die Atommassen bzw. Isotopenmassen der beteligten Elemente sowie - in eckigen Klammern - die natürliche Isotopenzusammensetzung auf.

 

Weitere berechnete Daten

Die molare Masse ist M = 298,467 Gramm pro Mol.

Die Stoffmenge von einem Kilogramm der Substanz ist n = 3,35 mol.

Die Stoffmenge von einem Gramm der Substanz ist n = 0,003 mol.

Monoisotopische Masse: 298,2507949518 Da - bezogen auf 12C181H3416O3.

 

Vorkommen

Die 2-Hydroxyölsäure wurde erstmals 1975 aus dem Samenöl des Nil-Balsams (Salvia nilotica) isoliert und charakterisiert. Die Substanz besitzt Antitumoraktivität und könnte die natürliche Ölsäure in Krebszellen ersetzen, wodurch die absterben könnten [2].

 

Wirkstoff 2-Hydroxyölsäure

Internationaler Freiname (INN): Idroxioleic acid. Lateinische Bezeichnung: Acidum idroxioleicum.

ATC-Code:
L01XX85
QL01XX85

Unter der Bezeichnung Idroxiölsäure findet die Hydroxyfettsäure Anwendung als antineoplastisches Mittel.

Detail-Informationen zum Wirkstoff in englischer Sprache: Siehe unter DrugBank DB18213 (Wirkstoff-Datenbank), NCI Thesaurus C105401 (Wirkstoff-Beschreibung).

 

Gefahren-Hinweise nach GHS

(Allgemeine Hinweise ohne Gewähr auf Richtigkeit und Vollständigkeit! Die Angaben ersetzen weder das Sicherheitsdatenblatt Chemikalien noch eine Gefährdungsbeurteilung, sondern geben eine allgemeine Übersicht hinsichtlich der Gefährdung durch den Gefahrstoff.)

Signalwort: Gefahr

Gefahrenhinweise (H-Sätze):

  • H318
    Verursacht schwere Augenschäden.

Zur Kennzeichnung in der EU siehe ECHA Substance Infocard 100.230.499 sowie Informationen zu REACh unter ECHA Chem 100.230.499.


Hinweis: Die Kennzeichnungspflicht gemäß CLP-Verordnung gilt unter anderem nicht für bestimmte Stoffe und Gemische für Endverbraucherinnen und Endverbraucher, die in Form von Fertigerzeugnissen vorliegen, wie zum Beispiel Arzneimittel, Tierarzneimittel, Kosmetika, bestimmte Medizinprodukte und medizinische Geräte, Lebensmittel oder Futtermittel sowie bestimmte Lebensmittelzusatzstoffe oder Aromastoffe. Hier sind gegebenenfalls gesonderte rechtliche Vorschriften einzuhalten.

 

Externe Informationsquellen

PubChem:ID 9796304ChemSpider:ID 7972070Kegg Datenbank:ID D12994UNII der FDA (USA):Unique Ingredient Identifier OSV3KVO1BTEPA CompTox Chemicals Dashboard:DTXSID00430863

 

Hersteller und Bezugsquellen

In der nachfolgenden Tabelle sind Produzenten und Lieferanten von 2-Hydroxyölsäure als kommerzielle Chemikalie für Labor, Forschung, Industrie und Produktion mit den entsprechenden Kontaktdaten verzeichnet.

 

Literatur und Quellen

[0] - Fach- und Forschungsartikel in wissenschaftlichen Zeitschriften via PubMed: 2-Hydroxyoleic acid / Minerval.

[1] - M. B. Bohannon, R. Kleiman:
Unsaturated C18 α-hydroxy acids in Salvia nilotica.
In: Lipids, (1975), DOI 10.1007/BF02532764.

[2] - Maria Laura Martin, Gwendolyn Barceló-Coblijn. Pablo V. Escribá:
Minerval (2-hydroxyoleic acid) may replace oleic acid in human tumor cell lines.
In: Chemistry and Physics of Lipids, (2008), DOI 10.1016/j.chemphyslip.2008.05.132.

 


Letzte Änderung am 29.01.2026.


© 1996 - 2026 Internetchemie ChemLin

 

 













Akzeptieren

Diese Website verwendet Cookies. Durch die Nutzung dieser Webseite erklären Sie sich damit einverstanden, dass Cookies gesetzt werden. Mehr erfahren